Ergodicity Breaking and Quantum Many-Body Scars
In Plain English
Usually, when you drop an ice cube into hot coffee, the ice rapidly melts as its temperature rises to match its surroundings—a process known as thermalization.
This drive toward equilibrium is taken as a given in classical physics. However, the quantum world can surprise us. In our collaborative research, we successfully engineered special states called "Quantum Many-Body Scars."
Returning to the analogy, these scars act exactly like a quantum version of ice that stubbornly refuses to melt, even when sitting in hot coffee. By avoiding thermalization, these states preserve the memory of their initial conditions, offering a pathway toward creating stable quantum memory systems.
Research Summary

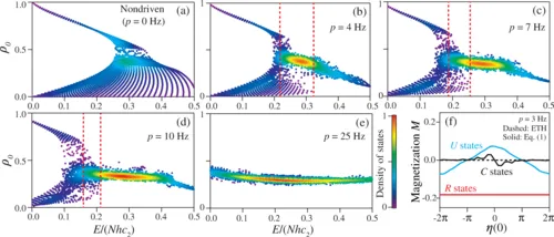
Operating at the intersection of theory and experiment alongside the Liu group at OSU, this research investigates ergodicity breaking in spinor gases driven by spin-flopping fields.
We demonstrated that while the majority of the system thermalizes in accordance with the Eigenstate Thermalization Hypothesis (ETH), a small, non-thermal subspace of eigenstates (Quantum Many-Body Scars) persists. The research maps a smooth, verifiable transition from integrable dynamics to weak ergodicity breaking (where QMBS are supported), and finally to fully thermal, ergodic states as the driving strength of the spin-flopping field increases.